“一带一路”暨金砖国家技能发展与技术创新大赛是展示各国职业教育成果、促进技术交流与合作的重要国际平台。在2025年大赛中,我校艺术设计学院师生积极参与、勇于创新,在多个赛项中表现突出,共荣获二等奖4项、三等奖3项,充分展现了学院在“AI+设计”领域的教学成果与创新能力。
在首届AI交互三维数字作品设计赛项决赛中,宫娜娜、姚淼仕老师组建的师生团队,综合运用AIGC、三维建模与交互设计技术,打造出沉浸式数字作品,荣获二等奖;同时,宫娜娜老师在职工组竞赛中展现扎实的数字创意实力,获得三等奖。
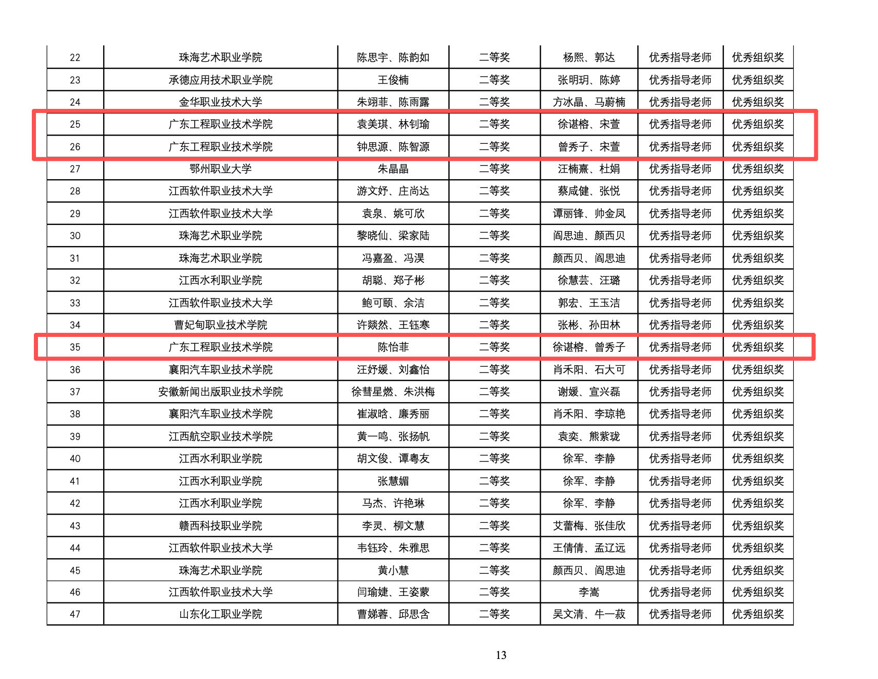
在 AIGC文创设计赛项决赛中,学院团队围绕“AI生成×文化表达”,将地域文化、传统文化与智能生成设计深度融合,探索文创产品的数字化创新路径。徐谌榕、曾秀子、宋萱老师指导的多组学生作品荣获二等奖3项、三等奖1项,同时获得优秀指导老师和优秀组织奖;肖飞、莫小敏老师指导的作品获三等奖1项。这些成果集中展示了学院在文化创意智能生成、AIGC设计模式与产业化应用方面的扎实积累。
本次系列赛项的优异表现,不仅彰显了艺术设计学院在“AI+设计”领域的先行优势,也体现了学院坚持“文化+科技+设计”融合发展理念的阶段性成果,有效提升学生技术技能、文化创意表达与数字化转化能力。
未来,学院将继续以国际赛事为平台,深化与“一带一路”及金砖国家在人才培养、技术创新、文化交流等领域的合作,推动更多“AI赋能、文化驱动、产业导向”的创新成果走向更广阔的舞台,加速设计成果在文化产业中的实际应用。






(图文:徐谌榕/宫娜娜 校对:陈菁晖 核发:吴文丰)